Cual es la ecuación de la recta que pasa por los puntos A(3,4) y B(-5,-10)
(A) 3x-y-5=0
(B) 7x-4y+1=0
(C) 7x-4y-5=0
(D) 7x+4y-37=0
yo hago lo siguiente, por favor corrigan-me
hallo pendiente
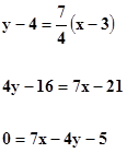
$$\begin{align}&m={-10-4\over-5-3}={-14\over-8} ={7\over4}\end{align}$$punto-pendiente
$$\begin{align}&(y-y_1)=m(x-x_1)\\&y-(-10)={7\over4}(x-(-5))\\&y+10={7\over4}(x+5)\\&4y+40=7x+35\\&0=7x-4y+35-40\\&0=7x-4y-5\\&\\&7x-4y-5=0\end{align}$$
se los a g r a d e z c o m u c h o
1 respuesta
Respuesta de Luis Alberto Candio Salcedo
3

