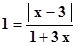
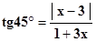
Cual es el valor de la pendiente si se tiene un angulo de 45

De acuerdo con los datos de la grafica arriba , ¿cuál es el valor de la pendiente
$$\begin{align}&A) \ \ \ \ \ \ 2\\&\\&B) \ \ \ \ \ \ {1\over2} \\&\\&C) \ \ - {1\over2} \\&\\&D) \ \ \ -2\\&\\&\end{align}$$
2 respuestas
Respuesta de Lucas m
1
Respuesta de Luis Alberto Candio Salcedo
1



Ojo: Mi estimados LUCAS M, por la posición de la recta la pendiente es negativa........ - Luis Alberto Candio Salcedo
Tienes razón ==> m=-2Saludos - Lucas m