Resuelve el siguiente ejercicio de geometría.
Geometría
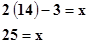
Los triángulos I y II son congruentes. Determina el valor de las incógnitas

1 respuesta
Respuesta de Luis Alberto Candio Salcedo
1


