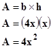
Como saco el perímetro y area si su base es 4x y su altura es x por ¿Cómo le hago? Necesito esto para un examen
Necesito esto porque va a venir en el examen
2 Respuestas
Respuesta de Lucas m
1
Respuesta de Luis Alberto Candio Salcedo
1


