¿Cómo es este problema de matemáticas (Teorema de Bolzano)?
No sé como resolver este problema. Tengo que aplicar el T. Bolzano.
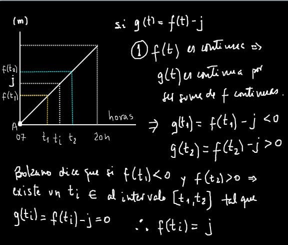
Un escalador comienza desde un punto determinado ''A'' a subir una montaña el domingo a las siete de la mañana y alcanza la cima ese mismo día a las veinte horas. Acampa en la cima y el lunes a alas siete de la mañana comienza a bajar llegando al mismo punto ''A'' de partida a las veinte horas. Demuestra que existe una determinada hora a lo largo del lunes en donde el escalador se encuentre a la misma altura que en dicha hora de domingo.
(((((((((((Por si sirve, me han ayudado a plantearlo (que no se si está bien) como si la función g: [0,T] -> |R indicase la posición del escalador en el tiempo t ∈ [0,T] y me han dicho que a partir de ahí tratase de aplicar el teorema de Bolzano a la función definida por h(x)=g(x)-g(T-x) pero la verdad que no sé qué hacer...)))))))))))))))

