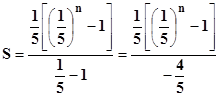
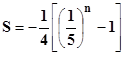
Cual es la suma del la progresion que se me muestra
La progresion es la siguiente
$$\begin{align}&{1 \over 5^{1}}, {1 \over 5^{2}}, {1 \over 5^{3}}... {1 \over 5^{n}}\end{align}$$...
1 Respuesta
Respuesta de Luis Alberto Candio Salcedo
1



