Preguntas esperando respuesta
Actividad pública reciente
Ha preguntado en el tema en
Matemáticas
La ecuación de la directriz cuya ecuación es
Cual es la ecuación de la directriz de la parábola cuya ecuación es A) y =1 B) x = 1 C) y = -1 D) x = -1
Sin respuestas
Ha valorado "Excelente" la respuesta
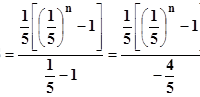
Cual es la suma del la progresion que se me muestra
Ha valorado "Excelente" la respuesta
Que puedo concluir de la siguiente grafica ?
Ha valorado "Excelente" la respuesta
Calcular la siguiente operacion sin calculadora
Las dos maneras de hacerlo sin calculadora son: o bien sabes de memoria el valor de las raíces de 2 y de 3, o bien sabes de memoria el valor del sen 75º.
Ha valorado "Excelente" la respuesta
Expresión correspondiente a seno (9.1309), cual es?
Podemos decir que Por lo tanto la opción es la a) Salu2
Ha valorado "Excelente" la respuesta
Como se realizan calculos de log sin calculadora
Lo primero que debes hacer es factorizar ambos números, así tenemos que 8 = 2^3 326 = 2 * 163 Lamentablemente creo que no hay demasiado por hacer, ya que además de esto tenemos que Pero mucho más allá de eso no se puede avanzar (o al menos a mí no se...
Ha valorado "Excelente" la respuesta
Cual es el resultado aproximado sin calculadora
Los 2 primeros descartados, ya que al calcular la raíz de un número menor que 1 se irá acercando a 1 pero por abajo (haz la prueba con cualquier número <1 con la calculadora y empieza a aplicar la raíz cuadrada y verás que esto es así). La duda está...
Ha valorado "Excelente" la respuesta
Hallar r de la siguiente formula
1/S=1/a - r/a....r=(1/a - 1/S)a=1-1/Sa
Ha valorado "Excelente" la respuesta
A que expresión es igual cotangente
Hay que aplicar la expresión para la tangente de la diferencia de dos ángulos.
