Hallar la suma de los primeros 4 términos de una progresión
De la función que esta escrita abajo, debo hallar la suma de los 4 primeros términos de la progresión geométrica, muchas gracias
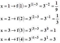
$$\begin{align}&funcion. \ \ \ \ f(x)=3^{x-3},\ \ x \ \in \mbox{N}, suma \ de \ los \ 4 \ primeros \ terminos.\\&\\&respuestas\\&\\&A) \ \ \ {31 \over 9} \\&\\&B) \ \ \ {40\over 9} \\&\\&C) \ \ \ {31 \over 3} \\&\\&D) \ \ \ {40\over 3} \end{align}$$
1 respuesta
Respuesta de Luis Alberto Candio Salcedo
2

