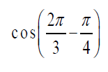
Solución de problema de funciones trigonométricas
Necesito obtener el cos de la función gracias y espero me puedan ayudar

respuestas.
$$\begin{align}& A) \ \ \ \frac{-\sqrt{6}-\sqrt{2}}{4} \\\\& B) \ \ \ \frac{-\sqrt{3}-\sqrt{2}}{2} \\\\&C) \ \ \ \frac{-\sqrt{2}+\sqrt{6}}{4} \\\\&D) \ \ \ \frac{\sqrt{2}+\sqrt{6}}{4} \\\end{align}$$
2 respuestas
Respuesta de albert buscapolos Ing°
2
Respuesta de Luis Alberto Candio Salcedo
1


