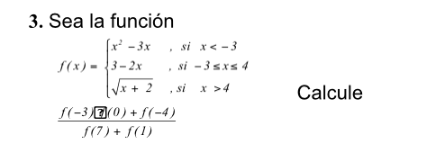
Realizar la siguiente operación de función

Resolver la siguiente función el signo de pregunta en cuadrito es un por

1 respuesta

Respuesta
1

;)
Hola Naty!

Eso es lo que en España llamamos una función troceada. En este caso tienes tres trozos,

Cada trozo tiene su fórmula y a la derecha su dominio de valides.

Así el primer trozo sirve si las x son menores que -3

El segundo trozo, para valores de x entre -3 y 4, ambos incluidos

Y, el tercer trozo para mayores que 4.

Calculemos primero los valores de las imágenes que salen en la operación:

f(-3))3-2(-3)=3+6=9

f(0)=3-2(0)= 3

f(-4)=(-4)^2-3(-4)=16+12=28

f(7)=

$$\begin{align}&f(x)=\sqrt{7+2}= \sqrt 9=3\\&\\&f(1)=3-2=1\\&\\&\frac{f(-3)·f(0)+f(-4)}{f(7)+f(1)}=\frac{9·3+28}{3+1}= \frac {55} 4\end{align}$$

Añade tu respuesta

Haz clic para o

Más respuestas relacionadas