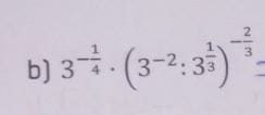
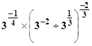
Dudas con ejercicio de potencias

En este ejercicio hay que escribir la operación en forma de radical. Yo veo tres formas distintas de hacerlo y cada una me da un resultado distinto. Quisiera saber cual es la correcta y por qué.
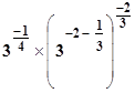
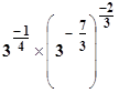
1)Hago la operación entre paréntesis, la elevo a -2/3 y multiplico. Después lo convierto en raíz. Me da raíz con índice 108 y de radicando 3^29.
2)Calculo la potencia de lo que está dentro del paréntesis, después divido y multiplico. Me dá raíz con índice 9 de radicando 3^5 entre raíz cuarta de 3.
3)


1 respuesta
Respuesta de Luis Alberto Candio Salcedo
1




