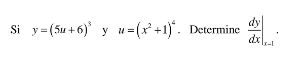
Como resolver este ejercicio de derivadas

______________________________________________________________
1 respuesta
Respuesta de Valero Angel Serrano Mercadal
1