Como encontrar la derivada ejercicios 4-6

Como hallar la derivada en estos ejercicios (procedimiento detallado si es posible).

1 respuesta

Respuesta
1

·

·

¡Hola José!

Son derivadas implícitas, se derivan respecto a x los dos lados de la igualdad, como y es una función de x su derivada será y'. Y una vez hecha la derivada implícita se despeja y'

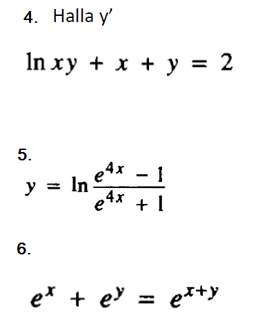
$$\begin{align}&4)\\&\\&ln \,xy+x+y = 2\\&\\&\frac{y+xy'}{xy}+1+y'=2\\&\\&\frac 1x+\frac {y'}y+1+y' = 2\\&\\&\frac {y'}y+y' = 1-\frac 1x\\&\\&y'\left(\frac 1y +1  \right)= \frac{x-1}{x}\\&\\&y'=\frac{\frac{x-1}{x}}{\frac 1y+1}= \frac{\frac{x-1}{x}}{\frac {1+y}y}= \frac{y(x-1)}{x(1+y)}=\frac{xy-1}{xy+1}\\&\\&------------------\\&\\&6)\\&\\&e^x+e^y=e^{x+y}\\&\\&e^x + e^y·y' = e^{x+y}(1+y')\\&\\&e^x + e^y·y' = e^{x+y}+y'e^{x+y}\\&\\&y'e^y - y'e^{x+y}= e^{x+y}-e^x\\&\\&y'(e^y-e^{x+y})= e^{x+y}-e^x\\&\\&y'=\frac{e^{x+y}-e^x}{e^y-e^{x+y}}\\&\end{align}$$

Y eso es todo, sa lu dos.

:

:

Añade tu respuesta

Haz clic para o

Más respuestas relacionadas