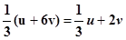
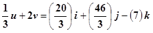
Dados los vectores u=8i+4j- 3k yv=2i+7j-3k determine el resultado al operar:

_________________________________________________________________________________________________________________________--[¨¨¨¨¨¨¨¨¨¨¨¨¨¨¨¨¨¨¨¨¨¨¨¨¨¨¨¨¨¨¨¨¨¨¨¨¨¨¨¨¨¨¨¨¨¨¨¨¨¨¨¨¨¨¨¨¨¨¨¨¨¨¨¨¨¨¨¨¨¨¨¨¨¨¨¨¨¨¨¨¨¨¨¨¨¨¨¨¨¨¨¨¨¨¨¨¨¨¨¨
1 Respuesta
Respuesta de Luis Alberto Candio Salcedo
3
