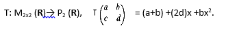
Ejercicio: encontrar las matrices de transformación y el núcleo de dicha transformación.
Tengo este ejercicio de encontrar la matriz de transformación y el núcleo creo que también se le llama kernel

1 respuesta
Respuesta de Lucas m
1