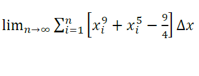
Como se expresa el limite cuando n tiende a infinito de la siguiente sumatoria , sumatorias de reimann
se que dX = (b-a )/n
xi = a+dxi
dx= delta x
como una integral del intervalo [1,7]
como se resuelve o se plantea el problema
Estoy viendo sumas de reimann
1 Respuesta
Respuesta de Valero Angel Serrano Mercadal
1