Hallar extremos relativos con hessiano
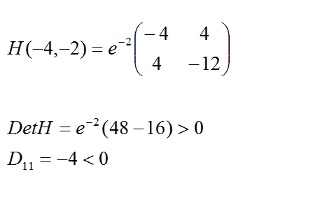
$$\begin{align}&z=\left(x^2-2y^2\right)e^{x-y}\end{align}$$la rspta indica que es en el punto (-4:-2) que hay un máximo relativo
No comprendo:
a)Como despeja por e y de las derivadas parciales primeras para lograr obtener (-4;2)(se que satisface la ecuación pero no comprendo el despeje que realiza para llegar a ese punto).
b)porque no usa el punto (0;¿0) Qué también genera nulidad en las derivadas parciales primeras?
Respuesta de Valero Angel Serrano Mercadal
1
1 respuesta más de otro experto
Respuesta de Lucas m
1
