Problema sobre La derivada y su función
- Lee con atención la siguiente situación:
Supongamos que el costo de la producción en pesos de x toneladas de jitomate está dada por la siguiente función c (x) = 5x2 + 3x. Es decir, para producir 1,200 toneladas de jitomate se necesitan c (1,200) = 5 (1,200)2 + 3(1,200) = 7,203,600 (siete millones doscientos tres mil seiscientos pesos). Si queremos saber cuánto se deberá pagar si se incrementa la producción a 30 toneladas más, hay que derivar la ecuación de la producción total y así obtener el costo del incremento de la producción. Para ello, se puede realizar el siguiente proceso:
- Se deriva la función del costo de producción
c(x)= 5x2+3x
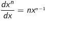
Para derivarla se utiliza la siguiente fórmula, que es para realizar una derivada de un polinomio:

- El resultado o la derivada de la función de producción total es:
![]()
- A partir de lo anterior,responde:
- ¿Cuánto deberá pagarse por aumentar a 30 toneladas la producción, es decir, por producir 1,230 toneladas de jitomate?
- En esta situación ¿para qué se aplicó la derivada de la función de producción total?
1 respuesta
Respuesta de Valero Angel Serrano Mercadal
1