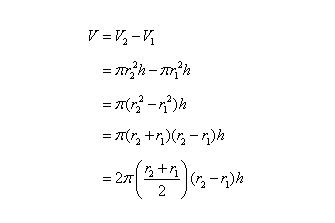
Cual es la formula del volumen de un Cilindro con Espesor
Estoy muy estresada
3 respuestas
Respuesta de Valero Angel Serrano Mercadal
Respuesta de Lucas m
Respuesta de albert buscapolos Ing°
