Calcular secante y tangente del siguiente planteamiento
Imagina que es posible generar una función que modela para x toneladas de jitomate el costo necesario de su producción f(x). Supongamos que la función que modela el costo por toneladas está dada por:
f(x) = 2x2 + 3x
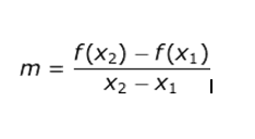
Recuerda que las funciones son usadas para modelar el comportamiento de algún fenómeno y así poder estimar los valores de la función cuando hay una variación en x.La fórmula para calcular la pendiente de la recta secante a una función dada es:

Ahora resuelve lo que se te pide:
- A partir de la fórmula mencionada determina la pendiente(m) de la recta secante para la función de costo de producción de 10 a 12 toneladas.
Para ello, recuerda lo siguiente:
- Utiliza la pendiente m de la recta secante para calcular la razón de cambio promedio del costo de jitomate de 10 a 12 toneladas. Recuerda que X1 será el primer valor de las toneladas y X2 el subsecuente.
- Luego sustituye los valores y obtén la pendiente de la recta secante. La pendiente de la recta secante por dos puntos de la gráfica de la función se interpreta como la razón promedio de cambio del costo por tonelada.
- Realiza la gráfica de la recta secante de la funciónx = 1.
f(x) = 2x2 + 3x
La gráfica de la recta secante con x=1 se debe derivar a partir de la función de costo de producción:
Función de costo de producción
f(x)=2x2 + 3x
Función de costo de producción derivada
f' (x) = 4x + 3
- En seguida saca la recta tangente y represéntala en una gráfica.
Recuerda que si quieres obtener y y realizar la gráfica de la recta tangente debes utilizar la función del costo de producción y sustituir el valor de x=1.
Posteriormente utiliza esta fórmula para obtener la tangente despejando y.
y - y1 = m(x - x1)
Al realizar la gráfica emplea una tabla con un rango de x de -2 a 2 y en la gráfica para el eje y un valor máximo de 10 y un mínimo de 2.

- Integra tus procesos y gráficas (pueden ser a mano, en Excel o con otro programa especializado)