Colaboración para el desarrollo de las siguientes integrales

Apoyo para el desarrollo de los ejercicios propuesto en la materia de calculo integral.

1 respuesta

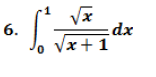
Respuesta
1

·

·

¡Hola Johan!

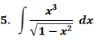
La segunda me suena, es muy difícil, de este tipo solo haremos una integral por pregunta.

$$\begin{align}&5)  \int \frac{x^3}{\sqrt{1-x^2}}dx=\int \frac{x^2}{\sqrt{1-x^2}}x\;dx\\&\\&t= 1-x^2\implies x^2=1-t\\&dt = -2xdx\implies x\;dx=-\frac 12dt\\&\\&=-\frac 12\int \frac{1-t}{\sqrt t}dt =\\&\\&-\frac 12\int\left(t^{- \frac 12}-t^{\frac 12}  \right)dt=\\&\\&-\frac 12 \left(\frac{t^{\frac 12}}{\frac 12}-\frac {t^{\frac 32}}{\frac 32}  \right)+C=\\&\\&\frac{t^{\frac 32}}{3}-t^{\frac 12}+C=\\&\\&\left(\frac{t}{3}-1\right)t^{\frac 12}=\\&\\&\left(\frac{1-x^2}{3}-1\right)\sqrt{1-x^2}+C\\&\\&- \frac{(2+x^2) \sqrt{1-x^2}}{3}+C\\&\end{align}$$

Bueno, yo he tomado un factor común que seguramente mucha gente no tomaría, y no sé si ha sido muy afortunado. Otra opción que podría ser mejor es:

$$\begin{align}&\frac{(1-x^2)^{\frac 32}}{3}-(1-x^2)^{\frac 12}+C=\\&\\&\frac{\sqrt{(1-x^2)^3}}{3}-\sqrt{1-x^2}+C\end{align}$$

Y eso es todo, sa lu dos.

:

:

Añade tu respuesta

Haz clic para o

Más respuestas relacionadas