Problema con ejercicio de matemática calculo integral

Introducir la descripción de la pregunta. Debes introducir la descripción de la pregunta.

1 respuesta

Respuesta
1

·

·

¡Hola Andres!

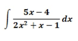
Hay que descomponer la integral en suma de otras fracciones más sencillas. Lo primero es factorizar el denominador.

$$\begin{align}&x= \frac{-1\pm \sqrt{1+8}}{4}=\frac{-1\pm3}{4}=-1\; y\; \frac 12\\&\\&\text{Cuidado, que a=2}\\&\\&2x^2+x-1=2(x+1)\left(x-\frac 12  \right)\\&\\&\int \frac{5x-4}{2x^2+x-1}dx=\\&\\&\frac 12 \int \frac{5x-4}{(x+1)\left(x-\frac 12  \right)}dx=\\&\\&\frac 12\left(\int \frac{a}{x+1}dx+\int \frac{b}{x-\frac 12}dx  \right)\\&\\&\text{Vamos a calcular a y b}\\&\\&\frac{5x-4}{2x^2+x-1}=\frac{a\left(x-\frac 12\right)+b(x+1)}{2(x+1)\left(x-\frac 12  \right)}\\&\\&\text{Los numeradores deben ser iguales, luego:}\\&\\&\text{Para x=1/2 }\\&\\&\frac 52-4=b\left(\frac 12+1\right)\implies-\frac 32=\frac {3b}{2}\implies\\&\\&b=-1\\&\\&\text{Y para x=-1}\\&\\&5(-1)-4=a\left(-1-\frac 12  \right)\implies-9=-\frac {3a}2\implies\\&\\&-18=-3a \implies a=6\\&\\&\text{Luego la integral es}\\&\\&\frac 12\left(\int \frac{6}{x+1}dx+\int \frac{-1}{x-\frac 12}dx  \right)=\\&\\&\frac 12\left(6\,ln|x+1|-ln\left|x-\frac 12 \right|  \right)+C=\\&\\&3\,ln|x+1|-\frac 12ln\left|x-\frac 12 \right|  +C=\\&\\&\text{Pero en las integrales cuyo resultado son logaritmos}\\&\text{se pueden hacer virguerías con la constante}\\&\\&3\,ln|x+1|-\frac 12ln\left|x-\frac 12 \right|  -\frac 12·ln\, 2+C=\\&\\&3\,ln|x+1|-\frac 12\left(ln\left|x-\frac 12 \right|  +ln\, 2\right)+C=\\&\\&3\,ln|x+1|-\frac 12 ln\left|2\left(x-\frac 12\right) \right| +C=\\&\\&3\,ln|x+1|-\frac 12 ln\left|2x-1 \right| +C\end{align}$$

Y eso es todo, sa lu dos.

:

:

Añade tu respuesta

Haz clic para o

Más respuestas relacionadas