Los ciclones tropicales en México y la posibilidad de ocurrencia.
¿Qué hacer?
Investiga sobre el número de ciclones tropicales ocurridos en México de 2009 a 2011 en el Océano Atlántico.

. Argumenta la posibilidad de ocurrencia de ciclones tropicales en México. Menciona cuál de los tipos de distribución de probabilidad permitirían hacer una proyección sobre los posibles ciclones tropicales en México, con base en ello argumenta cuál sería la posibilidad de ocurrencia.
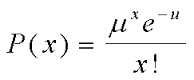
Yo se que se trata de la distribución de Poisson, pero no entiendo como llevarla a cavo

1 respuesta
Respuesta de Valero Angel Serrano Mercadal
2