·
·
¡Hola Mari!
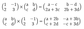
Vamos a multiplicar a derecha e izquierda por una matriz genérica.

Tienen que darse estas 4 ecuaciones
a-c = a+2b ==> 2b+c=0
b-d = -a + 3b ==> a-2b-d = 0
2a+3c = c+2d ==> 2a + 2c - 2d = 0 ==>a+c-d=0
2b+3d = -c + 3d ==> 2b+c=0
la primera y la cuarta son la misma
Y si nos fijamos la segunda es la tercera menos la primera
a + c - d - 2b - c = a - 2b -d = 0
Luego podemos reducirlo a la tercera y primera
a + c - d = 0
2b - c = 0
Podemos tomar a y b variables entonces
c=2b
d= a+c = a+2b
Luego las matrices que conmutan son las que tienen la forma
(A b )
(2b a+2b)
Y eso es todo, sa lu dos.
:
: