Quien gano mates con procedimiento
5. Considera los siguientes polinomios:
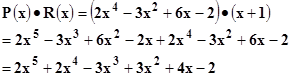
P(x) = 2x4 – 3x2 + 6x -2
Q(x) = x – 3
R(x) = x +1
Efectúa las siguientes operaciones:
P(x) + Q(x)
P(x) – Q(x)
P(x) · R(x)
1 respuesta
Respuesta de Luis Alberto Candio Salcedo


