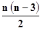
El angulo exterior de un polígono regular es de 60 grados. Encuentra el numero de diagonales
Necesito resolverlo, he intentado mucho pero no me sale ningún resultado o simplemente se acerca a los incisos. Se los agradecería millones
a) 20
b) 12
c)9
d)24
e)16
3 respuestas
Respuesta de Luis Alberto Candio Salcedo
1
Respuesta de Valero Angel Serrano Mercadal
1
Respuesta de Lucas m
1
