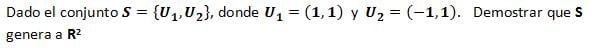
¿Cómo puedo demostrar un conjunto que genera R elevado a la 2
Necesito saber si la solución encontrada es correcta o no, por eso les pido el favor de que me colaboren. Mil Gracias.

1 Respuesta
Respuesta de Valero Angel Serrano Mercadal
1