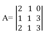
Dada la matriz A= hallar el rango de dicha matriz.

Necesito de tu ayuda para resolver el siguiente ejercico.

Gracias.

Dada la matrizhallar el rango de dicha matriz.

Respuesta
1

·

·

¡Hola Grismaldo!

A veces es suficiente con calcular el determinante, si el determinante es distinto de 0 entonces la matriz teien el rango máximo que sería 3 en este caso. Y si el determinante fuera 0 habría que calcular el rango con operaciones de fila, pero me arriesgo con el determinante.

|2  1  0|

|1  1  3| =6+6+0-0-3-6=3

|2  1  3|

Y ya está, como es distinto de 0 el determinante es 3.

S a l u d o s.

Añade tu respuesta

Haz clic para o

Más respuestas relacionadas