Problema de álgebra de multiplicación fracciones
El resultado de:
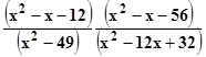
$$\begin{align}&\left(\frac{x^2-x-12}{x^2-49}\right)\left(\frac{x^2-x-56}{x^2-12x+32}\right)\end{align}$$alguien puede explicarme paso a paso como hacer esta operacion seria de mucha ayuda para mi
Respuesta de Luis Alberto Candio Salcedo
1
1 respuesta más de otro experto
Respuesta de Valero Angel Serrano Mercadal
1

