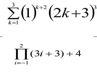
Hallar las siguientes Productoria paso a paso

Buenas noches amigos de todo expertos espero me ayuden con estas sumatorias gracias por su dedicación
1 respuesta
Respuesta de Valero Angel Serrano Mercadal
1