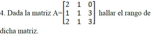
Hallar el rango de la matriz

Agradezco su valiosa colaboración con una explicación de este ejercicio.

1 respuesta

Respuesta
2

·

·

¡Hola Fabián!

De primeras puedes hacer dos cosas, o calcular el determinante o ponerte a sacar ceros por debajo de la diagonal.

Si calculas es determinate y es distinto de 0 ya lo tienes, el rango es 3. Pero si sale 0 tendrás que hacer lo de los ceros para saber si el rango es 2 o 1.

Yo no veo que se pueda hacer una fila con todo ceros luego me voy a decantar por calcular el determinante

2·1·3 + 1·3·2 + 0·1·1 - 0·1·2 - 1·1·3 - 2·3·1 =

6 + 6 + 0 - 0 - 3 - 6 = 3

Pues ya está, el determinante es distinto de 0 luego el rango es 3.

·

Vamos a hacerlo también de la otra forma. Primero cambiamos filas, es bueno tener un 1 el la esquina izquierda de arriba

1  1  3

2  1  0

2  1  3

La primera multiplicada por (-2) se la sumaremos a la segunda y a la tercera

1   1   3

0  -1  -6

0  -1  -3

La segunda multiplicada por (-1) se suma a la tercera. Yo nunca resto porque es donde más equivociones se producen, prefiero multiplicar por un número negativo y luego sumar.

1   1   3

0  -1  -6

0   0   3

Y ya está, ya no se puden hacer más ceros en la ultima fila preservando los que hay. Y el rango es el número de filas que hay con algun termino distinto de 0, las tres tienen al menos un número distinto de 0, luego el rango es 3.

Y eso es todo, sa_ludos.

:

:

Añade tu respuesta

Haz clic para o

Más respuestas relacionadas