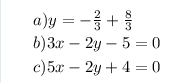
Determina la pendiente y el punto de intersección con el eje Y de la recta cuya ecuación es:

2 respuestas
Respuesta de Lucas m
1
Respuesta de Valero Angel Serrano Mercadal
1
