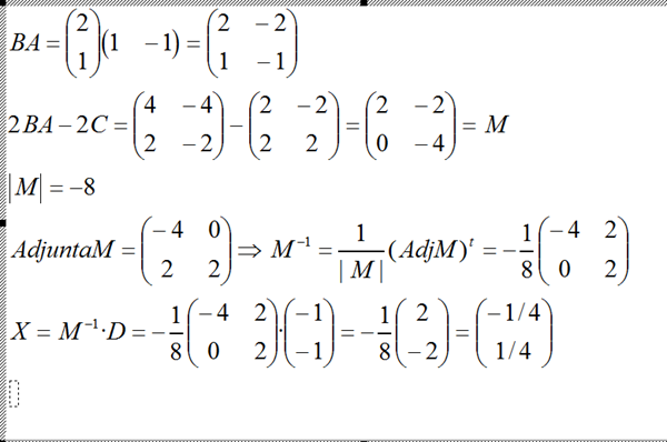
Ecuación Matricial” 2BAX - 2CX = D ¿Si filas y columnas no coinciden no se puede multiplicar verdad?
Considérese a resolver la siguiente "Ecuación Matricial” 2BAX - 2CX = D; donde las "Matrices” A, B, C y D son las siguientes:
Entonces la "Matriz X” vale:
2 Respuestas
Respuesta de Lucas m
1
Respuesta de Valero Angel Serrano Mercadal
1



