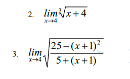
Me podrían a dar respuesta a los Ejercicios de Limites y Continuidad
Agradezco de antemano me ayudaran a solucionar los siguientes ejercicios del tema limites y continuidad.

3 respuestas
Respuesta de Lucas m
1
Respuesta de Valero Angel Serrano Mercadal
1
Respuesta de ronald zavala
1
