Como poner raíz elevada en C#
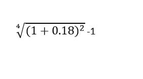
Solicito ayuda para realizar la raíz que se muestra en la imagen en el lenguaje de programación c#
Gracias por su colaboración

1 respuesta
Respuesta de Valero Angel Serrano Mercadal
Solicito ayuda para realizar la raíz que se muestra en la imagen en el lenguaje de programación c#
Gracias por su colaboración
