Dudas sobre la solución de algunos ejercicios de limites

Ejercicio de limites al infinito

Ejercicios de Limites trigonométricos

1 Respuesta

Respuesta
1

;)
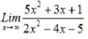
Hola Panchita!
El primero da la indetrminacion infinito/infinito que se puede resolver de dos maneras:

i) Dividiendo numerador y denominador por x elevado a la máxima potencia

Ii) tomando los términos dominantes de los polinomios, ya que para valores de x muy, muyyyyy grandes, esos términos determinan su comportamiento. Yo los hago así:

$$\begin{align}&\lim_{x\to \infty} \frac{5x^2+3x+1}{2x^2-4x-5}= \frac{\infty}{\infty}=\lim_{x \to \infty}\frac{5x^2}{2x^2}= \lim_{x \to \infty} \frac{5}{2}=\frac{5}{2}\\&\\&\\&\lim_{x \to 0}\frac{sen \frac{x}{2}}{x}=\lim_{x \to 0}\frac{sen \frac{x}{2}}{2 \frac{x}{2}}=\frac{1}{2} \lim_{x \to 0}\frac{sen \frac{x}{2}}{\frac{x}{2}}=\frac{1}{2}·1= \frac{1}{2}\end{align}$$

saludos

;)

;)

Añade tu respuesta

Haz clic para o

Más respuestas relacionadas