Análisis Limites y continuidad estoy necesitando solucionar los siguientes ejercicios, haciendo quedaría muy agradecida. Editore

Agradezco de antemano su pronta respuesta para darle solucion a los siguientes ejercicios del tema analisis y continuidad.

1 respuesta

Respuesta
1

·

·

¡Hola Lirio!

Respondemos solo dos límites como máximo por pregunta, respondo dos y además otro ya estaba respondido por mí hace unos minutos.

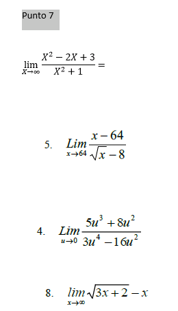
$$\begin{align}&\lim_{X\to \infty}\frac{X^2-2X+3}{X^2+1}=\\&\\&\text{numerador y denomindor tienen el mismo grado}\\&\text{dividimos todo por X elevada a ese grado, por }X^2\\&\\&=\lim \frac{1-\frac 2X+\frac 3{X^2}}{1+\frac{1}{X^2}}=\\&\\&\text{Los terminos con denominador una constante y}\\&\text{denominador }X,X^2, ...\text{ tienden a }0\\&\\&=\frac{1-0+0}{1+0}=\frac 11 =1\\&\\&\text{A lo mejor un día te dicen que si tienen el mismo}\\&\text{grado se dividen los coeficientes de ese grado, pero}\\&\text{he supuesto que no te lo han dicho todavía}\\&\\&----------------------\\&\\&5)\lim_{x\to 64} \frac{x-64}{\sqrt{x}-8}=\\&\\&\text{Tienes que ver }\\&x-64\\&\text{como una diferencia de cuadrados}\\&x-64=(\sqrt x)^2 - 8^2\\&\\&=\lim_{x\to 64} \frac{(\sqrt x)^2-8^2}{\sqrt{x}-8}=\\&\\&\text{Y el numerador es un producto notable}\\&\\&=\lim_{x\to 64} \frac{(\sqrt x+8)(\sqrt x -8)}{\sqrt{x}-8}=\\&\\&\text{simplificamos}\\&\\&=\lim_{x\to 64} (\sqrt x+8) =\sqrt{64}+8=8+8=16\end{align}$$

Y hasta aquí llego.  Recuerda valorar la respuesta e ignorar las no-respuestas de Jorge Herrera si llegan para poder seguir recibiendo respuestas.

Saludos.

:

:

Añade tu respuesta

Haz clic para o

Más respuestas relacionadas