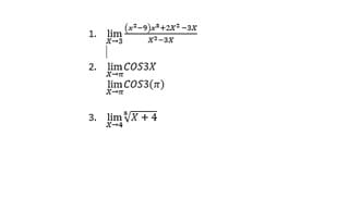
Ejercicios calculo diferencial limites, como resolver estos ejercicios
No pude realizar estos Ejercicios de calculo diferencial limites,

2 respuestas
Respuesta de Valero Angel Serrano Mercadal
1
Respuesta de Lucas m
1