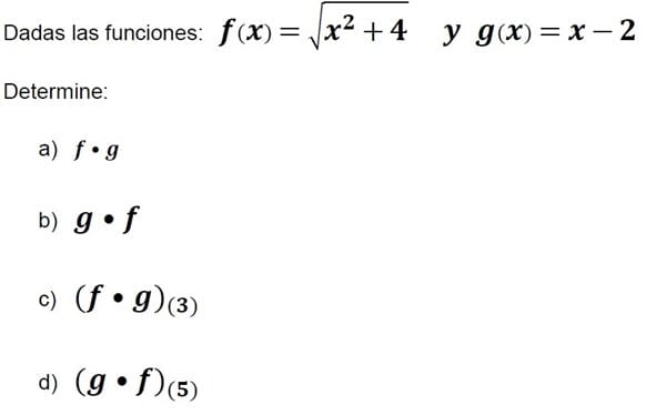
Problema de Operaciones entre funciones

Buenas noches, expertos, para el siguiente problema, solicito su amable ayuda en una guía para la realización, no es necesaria la respuesta, más bien una explicación.
1 respuesta
Respuesta de Valero Angel Serrano Mercadal
1