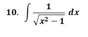
Resolver la siguiente integral mencionando claramente la técnica utlizada

Buenas noches amigos de todo expertos en esta ocasión me piden que menciones si se desarrolla por sustitcion, por partes, por farcciones parciales la idea es mencionar el método que se utilizo y describir los pasos espero me

1 respuesta

Respuesta
1

·

·

¡Hola Albert!

La sustitución debe ser trigonométrica por supuesto por todo lo que llevo visto de las preguntas que os hacen. ¿O se pueden usar los senos y cosenos hiperbólicos? Porque sería como de la noche a la mañana.

Espero la aclaración.

Saludos.

:

:

maestro creo que debe ser trigonometrica pues no conosco el tema de los senos y cosenos hiperbolicos aunque e gustaria saber y probar si me lo aceptan lo importante es mencionar si se desarrolla por sustitcion, por partes, por farcciones parciales  le agradesco su ayuda (ojala no apresca mas el tipejo de los link)  le agardezco mucho su ayuda

Si claro es lo que imaginaba pero tenía la esperanza de que no fuera así. Lo primero que tengo que decir es que es un atraso que os hagan hacer estas integrales por cambio trigonométrico, en el mismo espacio de tiempo os podrían enseñar las funciones hiperbólicas y todo sería mejor.

Lo segundo es que ahora no tengo tiempo para hacerla pero te dejo otra parecida que hice para que veas como hacerla

Problema de integración por sustitución trigonométrica

Y tambien te dejo la continuación que como resolver la inocente integral de la secante que si te la dan por inmediata ya está, pero si no es bastante complicada de hacer.

¿Cómo resolver la integral? Con procedimiento

Yo creo que todo esto puedes hacerla tu fácilmente, o si no tendrás que esperar unas cuantas horas a que esté disponible plenamente. Ya me dirás.

Saludos.

:

:

lo espero profesor ya que es temporada y estamos trabajando turnos dobles en el aeropuerto le agradezco

Profesor hagamolo por el otro método así pues los expongo solo hay que ue describir las propiedades y métodos utlizados

Pues para el otro método ya te dije la página donde habla de las funciones hiperbólicas, hay otras muchas más y más completas, pero con esta es suficiente.

https://es.wikipedia.org/wiki/Funci%C3%B3n_hiperb%C3%B3lica 

Y entonces recordemos la propiedad fundamental que tienen

$$\begin{align}&ch^2x-sh^2x=1\\&\text{de la que se deduce}\\&ch^2x-1=sh^2x\\&\\&\text{Donde ves como el cuadrado de una función}\\&\text{menos 1 te da el cuadrado de otra.  Justo lo que}\\&\text{necesitas para volatilizar la raíz cuadrada}\\&\\&\int \frac {dx}{\sqrt{x^2-1}}=\\&\\&x=ch\,t\\&dx=sh\,t\;dt\\&\\&=\int \frac{sh\,t\;dt}{\sqrt{ch^2t-1}}=\int \frac{sh\,t\;dt}{\sqrt{sh^2t}}=\\&\\&\int \frac{sh\, t}{sh\,t}dt=\int dt=t+C=\\&\\&argch\,x+C =ln(x+\sqrt{x^2-1})+C\\&\end{align}$$

¡Ah claro, por eso ha salido tan fácil!  Es que no me acordaba pero está integral es inmediata si se conoce a fondo las funciones hiperbólicas, eso del integrando es la derivada del argumento del coseno hiperbólico, luego se podia haber puesto directamente el resultado.  En la página puedes ver como es inmediata.

Saludos.

:

:

Añade tu respuesta

Haz clic para o

Más respuestas relacionadas