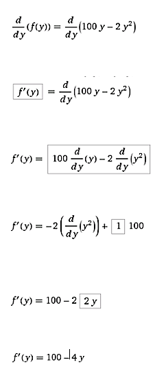
Regla para derivar f(y) = 100y - 2y^2
¿Cuál es la regla que se utiliza para derivar lo siguiente f(y) = 100y - 2y^2?
2 respuestas
Respuesta de Valero Angel Serrano Mercadal
1
Respuesta
1
