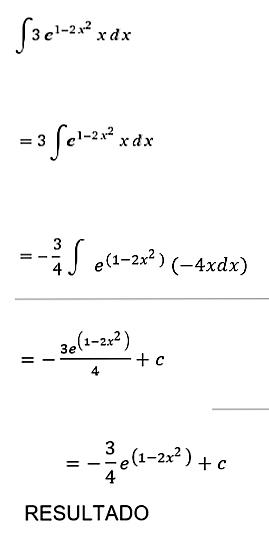
Como puedo resolver esta integral ∫▒〖3xe^(1-2x^2 ) 〗 dx
Cómo puedo hacer para resolver esta integral ∫〖3xe^(1-2x^2 ) 〗 dx
2 respuestas
Respuesta de Valero Angel Serrano Mercadal
2
Respuesta
1
