Preguntas esperando respuesta
Actividad pública reciente
Ha valorado "Excelente" la respuesta
Forma de resolver estas integrales ∫▒9^(5x+3) dx ∫_0^3▒〖1/2 x^3-2x^2+x+3〗 dx
· · ¡Hola Claudia! A la primera no le veo suficiente entidad para montar el tenderete de las integrales por cambio de variable, simplemente ajustaremos constantes para que dentro quede una derivada exacta y fuera compensaremos con esa misma constante...
Ha valorado "Excelente" la respuesta
No se resolver estas integrales ∫_2^6x/√(5x^2+1) dx ∫_0^2▒3^(1-x) dx ∫_(-4)^0▒1/(x+5) dx
· · ¡Hola Claudia! Mejor que no falte la categoría de Matemáticas en la pregunta que es el tema que miramos a todas horas, estos de Cálculo, Estadística, etc hay muchos días que no los miramos, o yo al menos no los miro. La primera se resuelve por...
Voto positivo a la respuesta
¿Cómo determinar la rapidez a la que cambia el precio cuando se venden 3 piezas?
· La rapidez a la que cambia el precio cuando se venden q piezas, es la derivada del precio respecto de q. Como ya nos la dan simplemente cambiamos q por el número de piezas que nos dicen y ya está p'(3) = -100 /(3+2)^2 = -100 / 25 = -4 Luego el...
Ha valorado "Buena" la respuesta
Obtener la derivada de y=10(2x^2-1) (1-x)^2
Yo lo resolveria asi La derivada de un producto es mundialmente de la siguiente manera y' = u' x v + u x v' yo directamente distribuyo el 10 al producto y=10(2x^2-1) (1-x)^2 y= (40x^2-10) (1-x)^2 defino u= (40x^2-10) y v=(1-x)^2 derivando cada...
Ha preguntado en el tema en
Cálculo
Forma de resolver estas integrales ∫▒9^(5x+3) dx ∫_0^3▒〖1/2 x^3-2x^2+x+3〗 dx
Me pueden explicar la forma de resolver estas integrales
Sin respuestas
Ha valorado "Excelente" la respuesta
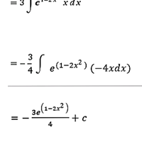
Como puedo resolver esta integral ∫▒〖3xe^(1-2x^2 ) 〗 dx
Voto positivo a la respuesta
¿Cómo dar solución a este tipo de integrales?
Ha empezado a seguir el tema Matemáticas
