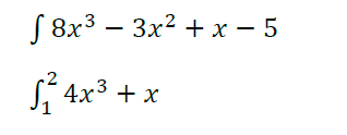
Como se resuelven estas integrales

ATenTamente: NeyJR
Siempre como mejor respuesta
1 respuesta
Respuesta de Lucas m
1

ATenTamente: NeyJR
Siempre como mejor respuesta