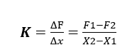
Como calculo la constante de elasticidad
Como hallo la constante de elasticidad, he encontrado varias fórmulas pero no se como comenzar con ellas.
Me piden hallar la constante de elasticidad de la masa vs la elongación, para luego graficar la pendiente que realmente no se como realizarlo, pero hay confusión




Luego de tener la constante debo hallar la pendiente para graficarla
2 Respuestas
Respuesta
1
Respuesta de Valero Angel Serrano Mercadal
1





