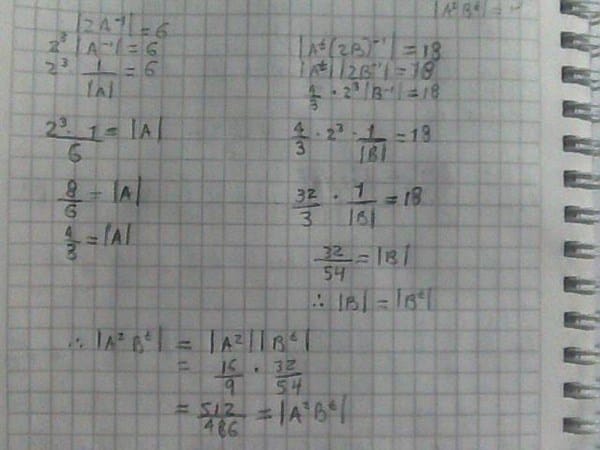
Si A y B som matrices 3x3 tal que det(2A^1)=6 y det(A^t(2B)^1)=18, entonces det(A^2B^t) =?
Bueno aqui està la imagen del enunciado(imagen de abajo), yo hice el ejercicio y me diò : det(A^2 B^t)=512/486, no se pero me parece un nùmero muy grande, no se si hice algo mal, aquì està la imagen del desarrollo del ejercicio: Muchas gracias.


2 respuestas
Respuesta de Lucas m
1
Respuesta de Valero Angel Serrano Mercadal
1