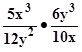
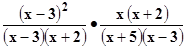
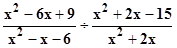
Cómo hacer multiplicación y división de fracciones algebraicas?
Aquí les adjunto las siguientes multiplicaciones, bueno son solo dos.

2 respuestas
Respuesta de Luis Alberto Candio Salcedo
1
Respuesta de Valero Angel Serrano Mercadal
1

