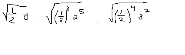
¿Cómo resuelvo este ejercicio de radical?
}
}
}
}
}
Resolver y, de ser posible, simplificar:

{
¡Gracias!
}
{
¡Gracias!
}
{
2 respuestas
Respuesta de Valero Angel Serrano Mercadal
1
Respuesta de Mario Rodríguez
1
