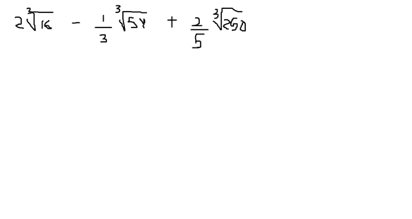
¿Cómo resuelvo este ejercicio de radical?
}
}
}
}
Resolver, extrayendo los factores del radical en caso de ser necesario:

}
}
}
}
2 respuestas
Respuesta de Valero Angel Serrano Mercadal
1
Respuesta de Mario Rodríguez
1
