Física como resolver problemas o ejercicios

La parte interior de un neumático de automóvil está bajo una presión manométrica de 28 Pa a 7°C y un volumen de 10 litros de aire. Después de varias horas, la temperatura del aire interior sube a 320 K y su volumen aumenta un 10%.

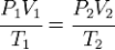
Para resolver este problema utiliza la Ley general de los gases. Recuerda que el planteamiento algebraico es:

Al aplicar las leyes de los gases, las unidades de las variables Presión y Volumen, pueden ser las que sean, siempre y cuando sean congruentes, las unidades de la Temperatura siempre deben ser Kélvines.

  1. Calcula la temperatura final en °C y el volumen final en litros. Integra en tu documento el procedimiento para la resolución del problema.

Para resolver la actividad recuerda:

  1. Primero se debe convertir la temperatura de °C a °K.
  2. Luego, se busca la P_2, entonces al despejar y sustituir valores se obtiene el resultado.
  3. Responde lo siguiente: ¿Cuál es la nueva presión manométrica?
  4. Explica¿A qué se refiere la ley general de los gases?

1 Respuesta

Respuesta
3

·

·

¡Hola Roció!

Te mando un enlace a la respuesta que ya resolví hace unos días. NO olvides volver después aquí para valorarla.

La parte interior de un neumático de automóvil está bajo una presión manométrica de 28 Pa a 7°C

Y eso es todo, saludos.

:

:

Añade tu respuesta

Haz clic para o

Más respuestas relacionadas